شما اشتراک نداریدبا خرید اشتراک، به محتوای همه درسها و دورههای باماکلاس دسترسی خواهید داشت.خرید اشتراک
سوال 15
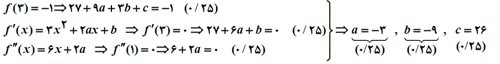
حل تشریحی سوال شماره 15 حسابان 2
آزمون امتحان نهایی 1403
15.
مقادیر و c را در تابع طوری به دست آورید که در نقطه (1-، 3) اکسترمم نسبی داشته باشد و x=1 طول نقطه عطف آن باشد.
پاسخ ها
1 پاسخ
تیم آموزشی بام…جمعه 5 بهمن 1403
